Solutions
Horse Construction offers full range of structural strengthening materials with technical supports, documentation supports, products supports, project supports.
Strengthening with carbon FRP
A 6-story commercial residential building with a frame structure caught fire in October 2018, and the fire lasted for 2 hours. The prefabricated slab on the third floor was cracked in many places and there were many hollowing phenomena. Part of the floor tiles on the third floor burst. The longest diagonal crack in the partition wall was 1.3 meters, and the maximum crack width was 3.4mm.
Reinforcement of reinforced concrete beams
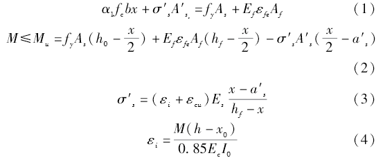
The damaged beam is detected and analyzed. The concrete and steel bars in the tension zone of the beam are damaged. The force analysis of the beam is performed, as shown in the figure.

Income

Through calculation and analysis, carbon FRP is used to strengthen the damaged beam.
Substituting the known conditions into the formula, we get: Af = 47.64 mm2. It is calculated that three layers of carbon FRP are required. One carbon FRP is added on the side of the beam, and three channels are added at the beam end. As shown

The reinforcement of the project comprehensively considered the rationality of the force, the convenience of construction, economic factors and other factors, and strengthening with carbon FRP. After a year of testing, the cracks in the beams and slab tiles did not continue.
You can find anything here you are in need of, have a trust trying on these products, you will find the big difference after that.
High strength, unidirectional carbon fiber wrap pre-saturated to form a carbon fiber reinforced polymer (CFRP) wrap used to strengthen structural concrete elements.
High strength, unidirectional carbon fiber fabric pre-saturated to form a carbon fiber reinforced polymer (CFRP) fabric used to strengthen structural concrete elements.
High strength, unidirectional carbon fiber sheet pre-saturated to form a carbon fiber reinforced polymer (CFRP) sheet used to strengthen structural concrete elements.